1.引言
小角光散射法1)是一种使用可见光区域(360nm~830nm)的光源,对微米级(μm)结构进行解析的测量技术。其测量对象范围与光学显微镜法有部分重叠,但能够对光学显微镜法无法分辨的细微结构相关信息展开研究。在可分辨的对象范围内,小角光散射法的一大显著特点是能够实时量化高次结构的变化。因此,它可广泛应用于高分子薄膜的结晶结构生长过程、相分离过程等的解析。
光学薄膜等所使用的PE(聚乙烯)、PP(聚丙烯)、PET(聚对苯二甲酸乙二酯),以及压电性薄膜等所使用的PVDF(聚偏氟乙烯)、PLLA(聚乳酸),都被称为结晶性高分子,已知它们具有球晶结构和针状结晶。而通过混合多种聚合物而赋予其新特性的材料被称为聚合物共混物,广泛应用于电子部件、汽车部件等领域。这种球晶结构的大小,以及聚合物共混物的海-岛结构的相关长度(衡量不规则相结构大小的尺度),对产品的强度、脆性、耐热性、透明性等有着强烈影响,因此根据目的调控其大小十分重要。借助小角光散射技术,不仅能对球晶和相关长度进行量化,还能计算出温度变化引起的球晶生长速度、旋节线分解过程中的结构周期变化等,因此可广泛应用于产品研发等诸多领域。
此前,我司生产销售过小角光散射装置,也有大学等机构自行制作,但在测量结晶生长、相分离过程时,由于要测量散射强度的急剧变化,使用传统装置需要在测量过程中调整检测器的曝光时间,测量操作较为繁琐。在此,我们介绍我司生产的“高分子结构解析系统PP-1000”(图1)的各种测量实例,该系统搭载了高动态范围功能(HDR),能够解决上述弊端,可捕捉大范围的明暗差异,并获得接近肉眼观察效果的清晰图像。

图1.高分子结构解析系统 PP-1000
2.小角光散射法
小角光散射法是通过获取小角度侧(散射角度:θ < 5°)的散射图案,对散射体的大小及结构进行评估的技术。例如,能够得到反映薄膜内部结构的、由光学不均匀性所决定的散射图案(参见图2)。

图2.小角光散射技术的概率图
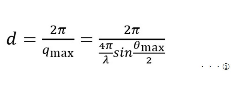
不均匀性可以考虑是与密度波动相对应的极化率及折射率的波动(多成分聚合物共混物、结晶相和非晶相的密度差),以及光学各向异性的有无(晶体结构的有无及性质)。由光学各向异性引起的散射是小角光散射法所特有的,而在小角X射线散射等方法中无法观察到。例如,因密度波动而具有规则结构(如旋节线分解过程)的物质,其散射图案为环形;而具有海岛结构这类不规则结构的物质,其散射图案为圆形。此外,对于因光学各向异性而形成球晶结构的结晶性高分子,会得到三叶草型散射图案;形成针状结构(纤维结构)的,则会分别得到X型或十字型散射图案(参见图3)。像这样,可根据散射图案推测样品的结构,进而通过将各理论公式①~③应用于所得到的散射图案,能够对结构进行数值化处理2)。针状结构的解析方法记载于参考文献3)中。

图3. 与各种结构对应的散射图案图像
规则结构(环形)
海岛结构(圆形)

球晶结构(三叶草型)

※散射矢量

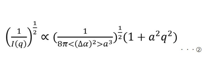
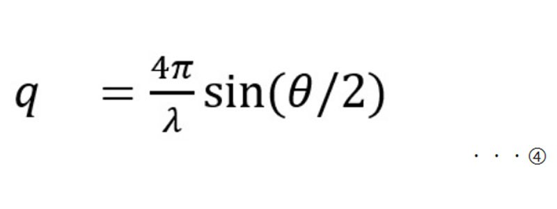
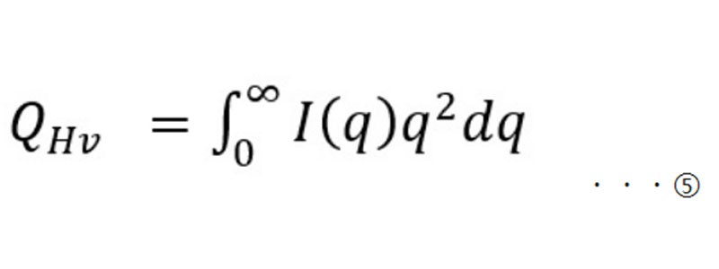
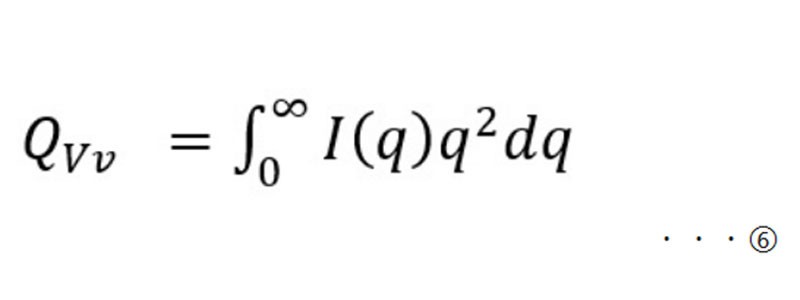
d:相结构的周期、q:散射矢量、λ:波长、I(q):散射矢量q下的散射强度、a:相关长度、Δα:各相的极化率差、RHv:球晶半径、θ:散射角度、θmax:散射强度最大时的散射角度
在小角光散射法中,通过分析各种偏振条件下的散射强度分布,不仅能从密度波动,还能从光学各向异性的角度解析高分子薄膜的内部结构4)。代表性的偏振条件包括:偏振片与检偏片平行时的Vv(Vertical-vertical)散射测量,以及偏振片与检偏片垂直时的Hv(Horizontal-vertical)散射测量。Vv测量可获得样品的密度波动及光学各向异性(结晶性、双折射)的散射信息,Hv测量则可获得样品的光学各向异性的散射信息(参见图4)。

(上图)Vv散射 (下图)Hv散射
图4.Vv散射和Hv散射的概略图
3.HDR功能
高动态范围合成(HDR)是一种将多张不同曝光程度的照片合成为一张的技术,与传统的标准动态范围(SDR)相比,它是一种能够呈现更广的亮度范围的显示技术。近年来,它已变成一项常见功能,搭载在智能手机等相机中。
例如,在拍摄夜景或逆光人像等明暗差异极大的场景时,如果按照使明亮部分能清晰呈现的设置来进行拍摄,则暗部就会变得一片漆黑;反之,若按照暗部进行设置,明亮部分则会变得惨白。这种情况下,若开启HDR功能,相机会以多个不同的曝光程度对同一场景进行拍摄,然后通过电子电路或软件,依据特定的计算步骤对这些照片进行合成,从而得到一张明暗部分都清晰呈现的图像。
通过将这一HDR功能与小角光散射技术相结合,无需调整曝光时间和入射光强度,就能应对散射强度发生急剧大幅变化体系的测量。例如,借助该HDR功能,能够追踪从散射强度较低的高分子薄膜熔融状态到散射强度较高的结晶化状态过程中的散射强度变化(参见图5)。

(a)熔融状态 (b)结晶开始时 (c)结晶结束时
图5. 有无HDR功能的PVDF散射图案图像对比
4.测量例
PVDF的球晶测量
高分子的结晶形成过程可通过追踪Hv散射来实现。通过求出式⑤所给出的Hv光散射的散射强度分布I(q)的积分值QHv ,能够确认结构变化。

图6显示了将PVDF在230℃下熔融后,以50℃/分钟的速度冷却至170℃,并进行等温结晶化测定时,QHv与球晶半径随时间的变化情况。由于QHv会随着晶体体积的增加而上升,当结晶化结束后则保持恒定,因此可以确认:结晶化在约500秒时开始,晶体体积随时间增加,1800秒以后结晶化结束。

图6. PVDF结晶过程中QHv及球晶半径的经时变化
图7~图9展示了所标注的各时间点下,散射强度I(q)的经时变化及散射图案。如图9所示,通过冷却进行结晶化会生成球晶,其散射图案呈现为三叶草型的Hv散射像。散射强度在方位角45°时达到最大,以散射矢量q为横轴、散射强度I(q)为纵轴进行绘图,可得到具有极大值qmax的散射分布曲线。根据该qmax能够算出球晶半径。如图7、图8所示,随着球晶的生长,qmax的值向低角侧偏移,由此可以确认球晶半径逐渐增大的过程。此外,通过球晶半径的曲线图的斜率,还能够计算出球晶的生长速度。

图7. PVDF结晶过程中散射强度I(q)的经时变化(500sec.~1000sec.)

图8.PVDF结晶过程中散射强度I(q) 的经时变化 (1200sec.~2000sec.)

(a) 500sec. (b) 600sec. (c) 700sec. (d) 800sec. (e)900sec. (f) 1000sec.
图9.PVDF结晶过程中散射图案的经时变化
表1.PVDF的结晶过程中球晶半径的经时变化 (500sec.~2000sec.)

表2.PVDF的不同冷却速度下球晶半径的经时变化

从表 1 和图 8 可以确认,在 1400 sec.~2000 sec.这段时间内,球晶半径基本保持恒定,但 QHv 在此期间却在上升。这被认为是在球晶尺寸一定的情况下,球晶的体积在增加。
表 2 显示了将 PVDF 在 230℃熔融后,以 10~150℃/ min的速度冷却至室温时所测得的球晶半径数值。可以确认,以 150℃/ min的速度冷却时测得的球晶半径最小,而以 10℃/ min的速度冷却时测得的球晶半径最大。生成的球晶大小取决于结晶化时的冷却速度。从熔融状态急冷生成球晶时,会形成小的球晶;而缓慢冷却生成球晶时,则会形成大的晶体。由于球晶的大小对产品的强度、脆性、透明性等有很大影响,因此根据目的调整冷却速度,以控制球晶大小是很重要的。
甲基纤维素溶液的旋节线分解测定
旋节线分解(spinodal decomposition)5)是混合体系从均一状态向非均一状态发生相转变的现象之一,在聚合物共混物的研究中广为人知。本次所测定的甲基纤维素溶液6),在温度升高时,会通过旋节线分解发生液-液相分离。高分子的相分离过程可通过追踪Vv散射来实现,通过求出式⑥所给出的Vv光散射的散射强度分布I(q)的积分值QVv,能够确认结构变化。

图10显示了将甲基纤维素溶液以150℃/ min的速度从室温升温至60℃时,QVv随时间的变化情况。当两相的体积分数分别为φA、φB时,QVv在φA =φB =1/2时达到最大值,因此可以确认:液-液相分离在约20秒时开始,约25秒时两相的体积分数达到1/2。此外,由于120秒以后QVv保持恒定,可确认相分离已结束。

图10. 甲基纤维素溶液相分离过程中QVv的经时变化

图11. 甲基纤维素溶液相分离过程中散射强度I(q)的经时变化(22sec.~30sec.)

(a) 22sec. (b) 24sec. (c) 26sec. (d) 28sec. (e)30sec.
图12.甲基纤维素相分离过程中散射图案的经时变化
图11、图12展示了所标注的各时间点下,散射强度I(q)的经时变化及散射图案。随着温度升高发生旋节线分解时,Vv散射图案会呈现为环形。利用全方位角的测量数据,以散射矢量q为横轴、散射强度I(q)为纵轴进行绘图,可得到具有极大值qmax的散射分布曲线。根据该qmax能够算出相结构的周期。可以确认,随着相分离的推进,qmax的值向低角侧偏移,周期结构逐渐变大(参见表3)。
表3.甲基纤维素溶液相分离过程中周期结构的经时变化(22sec.~30sec.)

表4.甲基纤维素溶液相分离过程中相关长度的经时变化(80sec.~140sec.)

以上分析了旋节线分解过程,随着反应的进行,会逐渐生成海-岛结构,Vv散射图案也会从环形变为圆形。此时,需将解析方法从理论式①切换为理论式②,进行相关长度解析。利用全方位角的测量数据,以散射矢量q为横轴、I(q)为纵轴绘图,可得到具有角度依赖性的散射强度分布曲线。相关长度ξ可通过Debye-Bueche图(横轴为q2,纵轴为I(q)-1/2)进行计算。
从表4可以确认,随着相分离的推进,相关长度ξ逐渐增大。这种现象在聚合物共混物中也很常见,由于这种两相结构的相关长度大小对产品的强度、耐热性等有很大影响,因此这对于根据目的研究共混聚合物的配合比例等具有参考价值。
5.结语
使用光进行的小角散射,与X射线及中子线相比,能够对更大的结构(微米级)进行评估。所获得的信息不仅限于散射体的大小和形状,还涵盖结晶结构、取向性、相关长度、旋节线分解过程等多个方面。
小角光散射是一项能够将原本仅用光学显微镜“观察”到的现象进行“数值化”的技术,由于它能更便捷地实现薄膜的产品管理,我司也希望能为这一方法的普及贡献力量。
【参考文献】
1)高分子学会編 高分子的构造(2) 散射实验与形态观察 、新高分子实验学6, 初版, p.2-95 (共立出版, 1997)
2)斎藤拓, 日本橡胶协会杂志, 84, No.3 , p.94-99 (2011)
3)T. Hashimoto, K. Yamaguchi, and H. Kawai, Polymer J., 9, p.405-414(1977)
4)橋本竹治, X 射线、光与中子散射的原理及应用, 初版, p.330-358 (讲谈社, 2017).
5)井上隆, 纤维学会誌, 40, No.2 , p.71-80 (1984)
6)M. Shibata, T. Koga, K. Nishida, Polymer 178, 121574 (2019)
(刊载于『月間Plastics Age』2021年11月号2021/11)