1.引言
在分子量测定方法中,GPC 法(Gel Permeation Chromatography,凝胶渗透色谱法,)想必大家都比较熟悉。如今,该方法也被称为SEC 法(Size Exclusion Chromatography,体积排阻色谱法)。这类方法的原理是利用色谱柱内填充剂的孔径大小差异,使样品中不同成分的洗脱时间产生区别,进而实现分子量的测定。由于该方法需要通过与 “标准样品的洗脱时间” 进行对比来计算待测样品的分子量,因此最终得到的分子量被称为 “相对分子量”。
与之相对,光散射法则通过SLS 法(Static Light Scattering,静态光散射法)测定分子量。当光线照射到样品上时,溶质分子会产生散射光,而散射光的强度与溶质分子的分子量大小相关;同时,散射光强度也与溶质浓度存在关联。基于这一特性,通过分析不同浓度下测得的散射光强度,即可计算出样品的分子量。与 GPC 法不同,该方法无需依赖标准样品,因此最终得到的分子量被称为 “绝对分子量”。
该测定的直观理解方式是:以样品浓度为横坐标,以测得的散射光相关信息为纵坐标进行绘图。下文将展示 “聚苯乙烯(F40)溶解于甲苯中” 时的测定结果。

关于详细的计算公式等内容,我们计划在后续的内容中为大家介绍,因此本次暂不展开;但需要说明的是,通过相关分析我们能够得到一条直线 —— 该直线截距的倒数代表分子量,斜率代表第二维里系数。
表 1-1 汇总了上述两种方法的优点与缺点。

表1-1. 各测量方法的优点和缺点
SLS 法(静态光散射法)的一大优势在于,其无需使用色谱柱进行测定,因此对溶剂几乎没有限制。在 GPC 法(凝胶渗透色谱法,即 SEC 法 / 体积排阻色谱法)中,若样品与色谱柱填料发生相互作用,则难以完成准确测定;而 SLS 法只需将样品溶液装入玻璃比色皿即可进行测定,无需考虑 “样品与色谱柱的相互作用” 问题。此外,SLS 法不仅能测定绝对分子量,还可同步获取反映 “样品与溶剂亲和性” 的第二维里系数,以及体现 “高分子链空间伸展程度” 的旋转半径。
关于光散射测定的注意事项:由于散射光强度与粒子粒径的 6 次方成正比,因此样品中若含有微量杂质(如微小尘埃、未溶解颗粒等),会显著干扰测定结果。基于此,必须对测定样品进行 “光学级纯化处理”,以彻底去除这类杂质。相关纯化技术的细节,我们计划在后续内容中为大家介绍。
从本次开始,我们将以 “连载专栏” 的形式,不定期更新关于 “光散射技术在分子量测定中应用” 的内容。专栏计划涵盖的范围较广,不仅包括 SLS 法的测定方法、实操技巧,还将深入讲解数据解析相关知识。若这些内容能对大家的研究或学习稍有帮助,我们深感荣幸。
敬请期待下期专栏!
下期:
光散乱理论 …气体中与溶液中的散射理论公式、大分子的散射理论
2.光散射理论 … 气体中与溶液中的散射理论公司、大分子的散射理论
本次介绍静态光散射法(SLS 法)的分子量测定原理
当电磁波(光)照射到粒子及分子上时,粒子与分子中的电子会吸收能量并开始振动。这些振动的电子会向各个方向释放出电磁波(光),这一现象称为散射现象。

通过改变浓度和角度,对该辐射电磁波(散射光)的强度进行测定与分析,即可测量溶液中分子的分子量。
此外,本章会出现较多公式,因此如果您觉得“自己不太擅长公式……”,可以直接跳至3.SLS的测量方法部分阅读!
气体中的粒子散射
这里首先考虑气体中粒子对光的散射。
当入射光使用垂直偏振的激光时,散射强度(Is)与入射光强度(Io)的比值由下式给出。

N:分子数
λo:入射光的波长
r:物质到检出器的距离
α:分子的极化率
此散射强度与入射光波长λ的四次方成反比的公式被称为Rayleigh的λ⁻⁴定律。
此外,极化率α可表示为下式:

dn/dc:折射率的浓度增量
M:分子量
NA:阿伏伽德罗数
从这些公式可以看出,可以通过散射光的强度来求得分子量。

溶液中的散射
在溶液中,需要考虑分子与溶剂的热力学相互作用,公式如下:

R(θ) = Is·r²/Io 被称为瑞利比,通过设光学常数
K = (4π²n²/λ₀⁴Nₐ)(dn/dc)²,通常可以表示为下式:

大粒子(分子)的散射
当粒子的大小超过波长时,来自粒子各个部分的散射会相互干涉,从而使散射强度呈现出角度依赖性。将其表示为 P (θ) 函数时,公式如下。


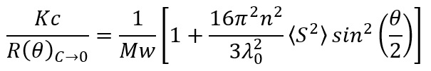
重量平均分子量解析(以Zimm图为例)
当分子量增大,或分子在溶液中伸展时,来自同一分子上多个点的散射光会发生干涉,从而出现角度依赖性。
对于高斯链且存在分布的情况,散射强度可由转动半径(radius of gyration)<S²>¹/²(由转动半径平方的Z平均值<S²>得到)和重量平均的绝对分子量Mw近似表示。
使用散射矢量 q = (4πn/λ₀)·sin(θ/2),可以将其整理成实际应用中更便于使用的图表形式。

将 Kc/R(θ) 作为纵轴,sin²(θ/2) + Bc 作为横轴进行作图,就是 Zimm 图(B 为任意常数)。
根据这个公式,将 Kc/R(θ) 对 sin²(θ/2) + Bc 作图时,通过向 c→0、θ→0 外推可以求得分子量 M;
通过连接各浓度 θ→0 点的直线的初始斜率可以求得第二维里系数 A₂;
通过连接各测量角度 c→0 点的直线的初始斜率可以求得转动半径 <S²>¹/²。
以下是标准聚苯乙烯(TOSO 制 F-40)的苯溶液的例子。

图2-1.标准聚苯乙烯(TOSO 制 F-40(TS-85);苯溶液)的 Zimm 图
下期
光散射理论 … SLS的测量方法 … 光学系的概念图和测量流程
3.SLS的测量方法 … 光学系的概念图和测量的流程
在静态光散射法中,将某一波长的光(激光)入射到样品上,测量分子散射光的强度作为散射角度(测量角度)的函数。装置的光学示意图如图3-1所示。
将测量样品放入圆柱形石英池中,并置于图中的恒温槽内。恒温槽中装有与石英池折射率相近的溶液(如硅油)。
来自光源(激光)的光入射到样品池,样品产生的次级散射光向各个方向发射。在与入射光成θ角(散射角度)的位置设置受光部,用于测量散射光强度。通过旋转受光部改变θ角,可以测量散射光强度的角度依赖性。
光源通常使用633 nm或488 nm等单色光。散射光强度的检测则使用雪崩光电二极管或光电倍增管。
常规测量中,入射光为垂直偏振,检测侧不使用偏振元件(这种配置称为Vv散射)。在检测器前设置针孔,以确保只检测来自样品池中心部分的散射光。

图3-1. 静态光散射法的光学示意图
静态光散射法中使用的瑞利比(与测量条件无关的样品固有量)无法使用测量装置直接测量。
为了计算瑞利比,需要对瑞利比已知的标准物质(苯或甲苯;见表3-1)在散射角度90°下测量其散射光强度(校准测量),求出换算系数。
样品测得的散射光强度是溶质和溶剂散射光强度的总和。由于所需信息是溶质的散射光,因此需要分别测量样品和溶剂的散射光强度,然后用样品的散射光强度减去溶剂的散射光强度,得到过剩瑞利比(ΔRθ)。
将其乘以用标准物质求得的换算系数,即可得到绝对值。
表3-1. 标准物质的瑞利比
(25℃、Vv条件、单位:cm-1)

分子量的分析方法有多种,通常是从不同的散射角度和样品浓度分别求得 ΔRθ。关于解析方法,请参见后文。
计算分子量的参数之一是示差折射率增量(dn/dc)(折射率的浓度增量),该值需使用示差折光计单独测量,而非静态光散射装置。
与其他许多光谱法相比,光散射测量中无色低分子杂质对测量结果的影响较小;但另一方面,来自灰尘等大颗粒的强散射光会成为产生较大误差的原因。
为了去除这些杂质,需要对测量溶液进行适当的光学纯化处理,例如用合适孔径的膜过滤,或通过离心使杂质颗粒沉降后,将澄清的上清液转移到样品池中。
下期将介绍获得高精度数据的测量技巧
表3-2. 光散射测量的流程

下一期:
光散射理论 … SLS的测量技巧 … 一般的SLS测量技巧
4.SLS的测量技巧 … 一般的SLS测量技巧
静态光散射法是将光(激光)入射到测量样品上,用检测器测量样品散射出的光强度(散射光强度)。
因此,如果样品以外的散射光到达检测器,就会得到错误的数据,导致好不容易测量的数据无法使用。
本次将介绍避免这种情况的技巧。
1.测量前的注意点
放入样品的比色皿(圆柱池)必须先目视确认表面无划痕、无污渍后再使用。
脏的比色皿要彻底清洗。将其在玻璃器具专用清洗液中浸泡2小时至一昼夜,然后用缠有镜头纸的棉签等仔细擦拭池内部,去除污渍。最后用水冲洗并干燥。
测量前的比色皿需用经0.1μm过滤器过滤的丙酮清洗,预先去除灰尘。
2.样品制备的注意事项
标准物质(苯、甲苯)以及用于稀释样品的溶剂,必须先进行光学纯化(注射器过滤或离心处理),去除灰尘等杂质后再使用。由于一次过滤往往无法完全去除灰尘,多次过滤效果更佳。
待测样品也必须进行光学纯化。此时需考虑样品的大小,选择孔径最适宜的过滤器。请参考表4-1作为选择标准。
表4-1. 用于过滤标准聚苯乙烯(溶剂:苯)溶液的注射器过滤器类型

使用注射器过滤器进行过滤时,不要让过滤后的液体滴落到容器中,而是将注射器过滤器的尖端靠在接收容器的壁面上,使滤液沿着壁面流下进行过滤。
为了获得准确的分子量,需要使分子在测量溶液中完全溶解。如果存在未溶解物或微凝胶,在过滤器过滤时,这些未溶解物或微凝胶可能会被截留。
3.测量条件的注意点
要提高测量精度,需要在溶质浓度较低且散射角度较小的区域进行测量。 然而,低浓度会导致散射光强度减弱,而低角度则容易受到杂散光(来自样品池的散射光)和灰尘的影响,因此考虑到这些,实验精度可能会下降。 作为参考标准,溶液浓度应选择使散射光强度达到溶剂散射光强度两倍以上的浓度; 即使在光轴调整充分的测量装置中,散射角度也建议在20°以上进行测量较为安全。 对于样品为水溶液体系的情况,测量尤其困难,因此应选择更高浓度、更高角度的条件进行测量以确保安全性。
当样品为高分子电解质时,在纯水中分子内和分子间的静电排斥力非常强,难以进行准确的分子量测量。因此,通常会在水溶液中加入约0.1 M的低分子盐(如NaCl等)来屏蔽静电排斥力,然后再进行分子量测量。
4.测量时的故障
分子量解析时,R(θ) 值为负
这是因为在样品过滤过程中,溶质被过滤器截留,导致样品的散射光强度低于溶剂的散射光强度。
对策:重新考虑过滤膜的孔径大小。
即使提高样品浓度,散射光强度也不增强
如果存在未溶解物或微凝胶,则它们可能在过滤过程中被截留。
对策:重新考虑过滤膜的孔径大小,或改用更容易溶解的溶剂进行测量。
测量过程中散射光强度波动较大
当溶质在溶剂中溶解不良,或存在未溶解物、微凝胶等时,散射光会出现较大波动。
对策:重新考虑过滤膜的孔径大小,或改用更容易溶解的溶剂进行测量。
下期预告:
SLS的解析方法 …各种作图方法的用法区分以及使用Zimm图进行分子量解析的示例
5.SLS的解析方法 …各种作图方法的使用区分以及使用Zimm图进行分子量解析的示例
在静态光散射法中,会根据分子量大小和分子形状选择适合的各种作图方法。
表5-1列出了这些作图方法的类型、适用示例及其特点。

表5-1 各种作图法的适用示例和特点。
注)Berry 图中,需要将角度和浓度分别进行作图。
下面介绍使用典型的Zimm图进行分子量解析的示例。
Zimm图的基本公式如下:

此处:
R(θ):瑞利比(还原散射强度)
c:浓度
K:光学定数(=4π2n2(dn/dc)2/(NAλ04):在直线偏振光入射的情况下)
NA: 阿伏伽德罗数
λ0:真空中的入射光波长
n:介质的折射率
dn/dc:折射率的浓度增量
P(θ):内部干涉因子
将 Kc/R(θ)作为 Y 轴,浓度或角度(sin2(θ/2))作为 X 轴进行作图,通过将数据外推到 c->0、θ->0,可以从外推线的斜率求得旋转半径和第二维利系数,从截距求得重均分子量Mw。
以下分别说明它们的求法。
<重量平均分子量与旋转半径的求法>
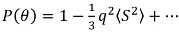
对于多个浓度下测得的 R (θ) 值,先将其外推到浓度为零,然后考虑这种 R(θ)c->0 时的角度依赖性 P (θ)。

此时P(θ)被表示为 

使用
的近似值,带入

因此对于
を
作图的斜率 ,
中的
(旋转半径:
),可以从切片的重量平均分子量 Mw 求出。

図5-1.重量平均分子量与旋转半径的求法
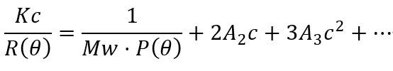
<重量平均分子量与第二维利系数的求法>
当将各浓度的 R (θ) 外推到角度 0 时,P (θ) 等于 1,因此

由此,根据
中对浓度 c 的图线斜率,在一次近似的情况下可以求得第二维里系数(A2),在二次近似的情况下可以求得第二维里系数和第三维里系数(A3)。另外,通过截距可以求得重量平均分子量 Mw。

图5-2.重量平均分子量与第二维里系数的求法
将这些解析汇总到一张图中的方法被称为Zimm图。
下图展示了标准聚苯乙烯(东曹制F-40:溶剂为苯)的测量示例。

图5-3.标准聚苯乙烯的测定示例
下期预告:
第二维里系数・惯性半径是什么……说明与测量示例