1.引言
显示器等光源发出的所有光通量即为总光通量。图1展示了其概念。光源的总光通量不仅是该光源的光输出(lm),也是计算发光效率(lm/W)时的重要性能指标。
作为测量该光源总光通量的方法,最基础的是“配光法”1),即将光源向整个空间发散的光通量,在以光源为中心的空间球面上的所有位置进行测量并积分的方法。但这种方法需要相当大型的设备以及容纳该设备的暗室。

图1 光源总光通量的概念
此外,由于需要将整个空间分割后逐次测量,导致测量耗时较长,在此期间要求光源保持稳定点亮。
因此,通常会使用积分球(球形光通量计) 2),这种积分球为中空球体,其内表面涂有硫酸钡粉末等白色扩散性涂料,光源在球体中心位置点亮。
积分球的优点在于,其内壁面的照度与总光通量成比例,因此只需测量一个位置的壁面照度即可;同时,由于积分球本身构成封闭空间,无需额外配备暗室。但缺点是,积分球内部用于点亮光源的夹具等内部结构会产生阴影,这些阴影会成为测量误差的成因。
图 2 为实际积分球的结构示例。积分球测量需通过与已标定总光通量值的总光通量标准灯泡进行对比来完成。所用的总光通量标准灯泡,应采用经 JCSS(日本校准服务系统)认证机构校准后的产品。

图2 积分球(球形光通量计)的结构示例
| 参考文献 | 1) | 蔀 洋司・斉藤 一郎:「基于配光测量的总光通量绝对校准装置的开发」、 光Alliance、15-3、pp.1-7 (2004) |
| 2) | 大久保 和明:「使用积分球的光测量方法」、 照明学会志、94-2、p.141-148 (2010) |
2.积分球的结构和原理
对于待测量光源的配光分布像灯泡那样在全方向空间(4π空间)内分布的光源,通常会将试样光源置于积分球中心点亮后进行测量。图3所示为其光学模型。
假设在半径为γ的积分球中心处有一光源,该光源以光度向角度α方向照射积分球壁面上的微小面积A。此时,积分球壁面A处的照度可由下式表示:

若积分球内壁以反射率 ρ(视见反射率)实现均匀漫反射,且壁面上的微小面积 A 的面积为 dS,则从微小面积 A 反射的光通量 φₐ可由下式表示:

图3 将光源置于积分球中心点亮时的光学模型
设与面 A 的法线成 θ 角方向上,积分球壁面上的微小面积为 B。
若面 A 为均匀漫反射面,则从面 A 射向面 B 方向的光强 I₀(θ) 可由下式表示:

由于面B是积分球内壁上的面,因此光强Iₐ(θ)入射到面B的入射角为θ;又因为面A与面B之间的距离为,所以由光强Iₐ(θ)在面B上产生的照度可由下式表示:

(2.4)
如式(2.4)所示,面A的反射光不受面A出射角θ的影响,会以均匀照度照射积分球内壁的任意部位。经积分球壁面反射的光会在各壁面间反复反射,此时面A的照度可由下式表示:

(2.5)
因此,如图2所示,在积分球内壁设置用于测量其照度的受光器,并在光源与受光器之间设置遮光板,用于遮挡光源发出的直射光,这样便可消去式(2.5)中项,从而得到与光源总光通量φ成比例的受光器输出。
由此可知,将已标定总光通量值的总光通量标准光源与试样光源,在同一积分球中进行对比测量,即可求出试样光源的总光通量。
实际上,由于光源、点亮光源的光源点亮夹具以及遮光板等均具有一定体积,积分球中会存在如图4所示的误差因素。

图4 使用积分球测量总光通量时的误差要因
在这些误差因素中,
〔1〕是光源自身产生阴影导致的光源自吸收,该误差可通过积分球附带的辅助光源进行校正³)。
〔2〕是由遮光板产生的阴影及反射,在设计积分球时需力求将其最小化。
〔3〕是支撑光源的光源点亮夹具产生的自吸收及反射;当总光通量标准灯泡与试样光源的配光存在差异时,该因素会引发较大的测量误差。
作为消除由光源点亮夹具引发的误差的方法,本文将介绍积分半球⁴)。
| 参考文献 | 3) | IESNA 规格 LM-79-2008 (Electrical and Photometric Measurements of Solid-State Lighting Products) |
| 4) | 大久保・三島・大嶋:「使用积分半球进行光源的总光通量测量」、 照明学会志、94-8A、p.1-7 (2010) |
3.积分半球的结构和原理


图5 积分半球的结构 图6 由半球与镜面的虚像构成的积分球光学模型
积分半球如图5所示,是一种光通量计,由两部分构成:一是积分半球,其内表面涂覆或加工有硫酸钡等扩散材料,该材料能对拟测量的辐射进行完全漫反射,二是平面反射镜(平面镜);需将拟测量总光通量的光源,安装在平面反射镜(平面镜)的镜面上,且处于积分半球的曲率中心位置。
此时,积分半球与平面镜所成的半球虚像相结合,会在光学层面构成如图6所示的积分球。
图7为实际积分半球(直径1米)的外观图。
图8为安装在反射镜中心处的光源照片。该图中,光源下方呈现出光源的虚像;测量时,光源与其虚像在积分空间内处于无支撑物悬浮的状态,而光源点亮夹具并不存在于积分空间中,因此可排除由夹具引发的误差因素。
此外,对于LED光源这类需要在发光部件附近设置点灯电路及冷却用散热片的光源,只需将这些部件安装在反射镜外侧,即可将其置于积分空间之外,不会对测量产生影响。
另外,像显示器等平面光源这类仅在单侧2π空间内存在配光的光源,通过反射镜所成的光源虚像的配光与其自身配光相合成,可形成4π空间的配光,从而实现类似使用完整积分球的测量效果,减少测量误差。


图7 直径1米的积分半球的外观
图8 从积分半球的反射镜侧观察到的光源
积分半球的原理如图9所示。当光源以光通量φ照射积分球内壁面S,进而对积分球内壁面A进行照明时,存在两种情况:一种是从面S直接照明面A;另一种是从面S射向虚像面A',经反射镜反射后再照明面A。

图9 积分半球的平面模型
从面S直接照射面A时,面A的照度可由下式表示:

(3.1)
此处,γ为积分半球的半径,ρ为积分半球内壁的漫反射率。
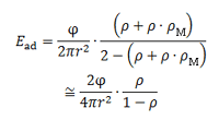
接下来,从面S射向虚像面A',经反射镜反射后再照射面A时,面A的照度可由下式表示:
(其中)
为反射镜的反射率。

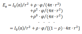
面S的光线对面A产生的照度可由下式表示:

由积分球内壁的反复反射在面A上产生的照度Ead可由下式表示:

可知,当时,照度是相同半径积分球照度的两倍。
4.积分半球使用的镜子
作为积分半球所用平面反射镜的例子,本文将介绍一种高反射处理铝材:以铝材为基材,在其表面进行高纯度铝真空蒸镀,再蒸镀一层透明氧化膜,从而在可见光波长范围内实现增反射处理。
图10所示为其分光反射率。该测量值由具备落射光学系统的大塚电子(公司)制造的“反射分光膜厚计 FE-3000”测得,入射角度与出射角度均为0°。
为作对比,还对光学用铝蒸镀反射镜(无保护膜)进行了测量。结果显示,铝蒸镀反射镜的反射率低于90%;而高反射处理铝材虽在420nm以下波长时反射率低于90%,但在该波长以上的可见光范围内,反射率可达到95%左右的高值。
积分半球内壁的漫反射涂层,采用了以硫酸钡为主要材料、由Labsphere公司生产的“Spectraflect-coating”涂层。图11所示为半球内壁漫反射涂层的分光反射率。

图10 积分半球所用反射镜的分光反射率 图11积分半球所用漫反射涂层的分光反射率
5.消除由积分半球的光源点亮夹具导致的误差
为确认积分半球对“由光源点亮夹具导致的误差”的消除效果,我们以直径1米的积分半球(HM-400)为对象,将其测量值与直径2米的积分球(LMS-760)、直径1米的积分球(LMS-400)的测量值进行了对比。
实验所用光源为两种LED灯泡:一种是配光接近总光通量标准灯泡的LED灯泡A;另一种是配光与标准灯泡差异显著、且配光集中在2π空间内的LED灯泡B。对比结果如图12所示。

图12 积分半球与积分球的总光通量测量值比较
“LMS-760”与“LMS-400”均配备直径40毫米的支柱式光源点灯台;由于“LMS-760”的内壁面积是点灯台表面积的4倍,其受点灯台的影响更小。因此,它与“LMS-400”的测量值之间存在差异。
这一差异在LED灯泡B的测量值中表现得尤为明显——LED灯泡B的配光与总光通量标准灯泡相差极大,由此可认为该差异是由光源点灯台引发的。
与之相对,未配备光源点灯台的积分半球(HM-400)能达到与“LMS-760”同等的测量精度;可见即便是直径1米的积分半球,在测量配光与总光通量标准灯泡不同的光源时,也有望实现足够高的精度。
6.总结
在测量显示器及其背光等面光源的总光通量时,以往通常认为通过积分球壁面点灯进行测量是理想方式³),但由于壁面点灯用的总光通量标准光源的研发与配备进展迟缓,难以实现高精度测量。
本次介绍的积分半球,还具备一项优势——可使用配光覆盖4π空间的传统总光通量标准灯泡,来测量配光仅覆盖2π空间的面光源,因此我们认为它适用于显示器相关光源的性能评估。
参考文献 | 3) | IESNA 规格 LM-79-2008 (Electrical and Photometric Measurements of Solid-State Lighting Products) |
(「月刊display」'11 12月号刊载 2012/2)